乐发vl

山东鲁东环保热销产品:反渗透0100阻垢剂、电厂专用缓蚀阻垢剂ZG001等循环水处理药剂
水处理药剂

您身边的水处理顾问

专注打造环保行业实力品牌

鲁东联系方式
反渗透水处理药剂
循环水处理药剂
进口反渗透水处理药剂
锅炉水处理药剂
污水处理药剂
清洗服务
水处理设备
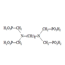
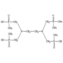
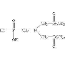
有机磷酸(盐)
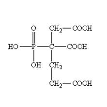
聚羧酸(盐)
蒸发器阻垢剂

全国销售热线

宁经理:18853131830,15553139909

乐发vl李经理:18615581723

乐发vl销售一部:0531-88760590

销售二部:0531-88786527

工厂地址: 济南高新区孙村镇大正路与世纪大道交叉口东50米

乐发vl销售地址:山东省济南市高新区联合财富广场1号楼907

致力于优化每个水处理项目,打造中国环保行业品牌企业

保护环境是我们每个人的责任和义务